The crisis of trust in medicine: a personal story
Alex Berenson - Jul 3rd 2025 2:48pm EDT This week, my mom called me to talk about a potential medical procedure. This was not entirely a surprise. My mom just turned 80, the golden age for American healthcare. What I mean is: she is old enough to go to doctors all the time, not so old the doctors can’t do anything. She’s in […]
Six years after Tell Your Children, Fox News asked me to update the world on the harms of cannabis
Alex Berenson - Jul 1st 2025 6:59am EDT Yesterday, a Fox News digital producer asked if I had anything to say about the growing evidence that cannabis is more harmful than scientists thought even a year ago. I told her I had plenty, and I’d be glad to write it, as long as I could cross-post the piece here. The article is below. […]
A note from a pediatrician who supports the US vaccination schedule
Alex Berenson - Jun 30th 2025 5:44pm EDTNOTE TO READERS: This email defending the American vaccine schedule came in the wake of the piece about the Danish vaccine schedule. I have cut it for length but am otherwise running it unedited — the writer is capable of speaking for himself. His point of view is worth a listen. He’s a straight shooter. […]
Turns out Unreported Truths readers love free swag as much as anyone else
Alex Berenson - Jun 30th 2025 3:20pm EDTLots of good stuff coming very soon – including, I hope, a fascinating 1988 paper on 19th-century British attitudes to vaccination and mandates. Turns out not everyone saw vaccines as a savior even in the epidemic era. The more things change… But first, a bit business. Six days ago, I added an offer to the […]
On Andrew Cuomo’s final humiliation
Alex Berenson - Jun 25th 2025 10:10am EDT It couldn’t have happened to a nicer psychopath. In spring 2020, as Covid panic peaked, Andrew Cuomo — then the governor of New York — was inescapable. His press conferences were required viewing for blue-state Covidians who feared they were one breath from a ventilator. Vaccine-loving fool Stephen Colbert and bad person Ellen DeGeneres called […]
New York City Democrats may pick a socialist Muslim who has basically never worked as their mayoral candidate
Alex Berenson - Jun 24th 2025 6:58pm EDT You know things are bad when Andrew Cuomo is the hero. Cuomo was last seen losing his job as New York’s governor after multiple sexual harassment complaints. (13, but who’s counting?) Then there’s his decision to make nursing homes take Covid patients, which probably led to thousands of deaths. But as Democrats vote in a […]
The founding members have spoken
Alex Berenson - Jun 24th 2025 11:29am EDTHey founding members: Considering you’re paying $300 a year, you’re pretty easy to please. But a couple of you said you thought T-shirts would be a nice perk. I like this idea. It recognizes your support, it’s a good token of appreciation. But it’s not an extra article or anything that undercuts the core mission […]
The founding members have spoken
Alex Berenson - Jun 24th 2025 11:29am EDTHey founding members: Considering you’re paying $300 a year, you’re pretty easy to please. But a couple of you said you thought T-shirts would be a nice perk. I like this idea. It recognizes your support, it’s a good token of appreciation. But it’s not an extra article or anything that undercuts the core mission […]
An Unreported Truths reader sums up the last 72 hours and reminds us why Donald Trump is not Joe Biden (thankfully)
Alex Berenson - Jun 24th 2025 9:57am EDTVery quick hit here, but I spent the weekend thinking and writing about game theory, decision trees, signaling, blah blah blah… Donald Trump saw a chance and he took it. His gut told him Iran was weaker than it seemed and he could deliver the coup de grace to its nuclear program. Risky move. And […]
A special note to founding members only
Alex Berenson - Jun 23rd 2025 3:19pm EDTYou are the core of Unreported Truths. I remember being shocked anyone would be willing to support me this way. But you did, and many of you have for years. It seems only fair to ask if there’s something I can do for you. Obviously, all stories go to everyone, and always will. But maybe […]
UPDATE: Iran fires missiles at a US base in Qatar – but gives advance warning
Alex Berenson - Jun 23rd 2025 2:44pm EDTWell. President Trump appears to rolled sevens again.1 Even as I published the article that just hit your inboxes, Iran had fired missiles at the giant American air base in Qatar. But oil prices dropped dramatically, because Iran said that it had warned Qatar before the attack in order to minimize the risk of casualties. […]
On the first true game theory war
Alex Berenson - Jun 23rd 2025 1:24pm EDT The enemy gets a vote. This is the core maxim in war. No matter how well your strategists plan, no matter how bravely your soldiers fight, the other side has its own vision and its own forces. Or, as Mike Tyson said, Everybody has a plan until they get punched in the mouth. Tyson’s plan […]
The Unreported Truths discount offer expires in three hours
Alex Berenson - Jun 21st 2025 8:52pm EDTA note to paid subscribers: I sent the note below, and link to sign up for a discounted subscription, to free subscribers earlier today. But, with three hours left before the offer expires, I want to resend it one more time to everyone, paid and free. Obviously, I hope you’ll make the jump if you […]
UPDATE: if you haven’t already asked the AI engines about me, you don’t have to
Alex Berenson - Jun 19th 2025 11:39am EDT Talk about blowing up my inbox… Not even an hour ago, I asked you to see what the AI engines are saying about me. Here’s what my inbox looks like now: — Whew. I expected my inbox would blow up, but not THIS fast. Thank you all! And if you missed the email an hour […]
Unreported Truths readers: I need help on a research project
Alex Berenson - Jun 19th 2025 10:27am EDTHey Unreported Truthers1 – I need your help! If you use the AI models – especially ChatGPT and Gemini – please ask them about me. The questions should be simple and non-leading, like: Who is Alex Berenson? What happened with Alex Berenson and Twitter? Is Alex Berenson an honest journalist? Can I trust the Unreported […]
A smart reader email on a potential middle course for vaccines
Alex Berenson - Jun 18th 2025 1:55pm EDT Yesterday’s article about how reporters and health bureaucrats are attacking Robert F. Kennedy Jr. for daring to suggest any changes, even tiny ones, to the Covid vaccine schedule led a reader to email this1: I did my own research after seeing how easily they were willing to force Covid vaccines on people who didn’t need […]
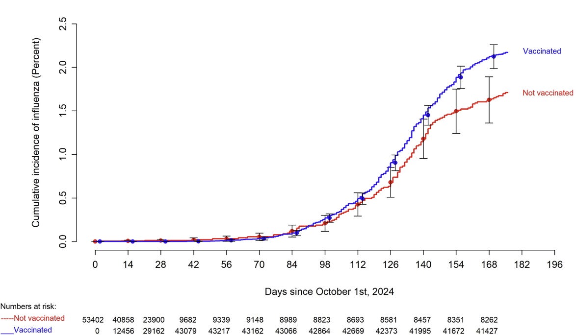
On the coming vaccine wars, and what they reveal about the crackup in medicine
Alex Berenson - Jun 17th 2025 6:15pm EDT (PART 2 of 2. For part one, about the decades-long fetishization of vaccines, click HERE.) For a month, the New York Times has led a jihad against Robert F. Kennedy Jr., claiming he wants to limit access to vaccines — if not ban them entirely. This is no exaggeration. Headlines include: “It’s Code Red for […]
The ever-expanding modern vaccination era may be ending at last
Alex Berenson - Jun 16th 2025 3:08pm EDT (PART 1 of 2) In the beginning was the smallpox vaccine. In the late 1700s, an English physician named Edward Jenner realized milkmaids infected with cowpox rarely fell prey to smallpox, a devastating virus. Jenner began deliberately giving people cowpox and found they too became immune to smallpox. Over the next two centuries, humanity beat […]
The newest artificial intelligence danger
Alex Berenson - Jun 15th 2025 11:54am EDT Fool me once, shame on you. Fool me 1000 times, make me crazy. A small but growing number of users of artificial intelligence engines like ChatGPT are developing psychotic delusions from their conversations with the services. The New York Times reported on Friday on the trend, which I have occasionally glimpsed firsthand in interactions on […]
1The price of poker just went up
Alex Berenson - Jun 13th 2025 1:30pm EDT The air assault that Israel began last night on Iran’s government, military, and nuclear facilities was not a surprise. Its scope was. This attack wasn’t a warning, a symbolic bombing to show Iran that Israel could defeat its air defenses. Israel was not trying to push Iran to negotiate concessions or temporarily delay its nuclear […]
A note on Unreported Truths and AI-written stories
Alex Berenson - Jun 12th 2025 12:12pm EDT I’m not sure yet whether and how AI will change society. (Apple scientists just posted a fascinating paper suggesting the current engines cannot solve truly novel puzzles. More on that soon.) But AI is changing Substack in a way I don’t like. — (Support real, human-generated content. For barely 15 cents a day.) Subscribe now […]
Immigration protests and media distrust: Everything comes back to 2020
Alex Berenson - Jun 10th 2025 1:16pm EDT What’s really happening in Los Angeles right now? What’s happening on the ground? How bad are these immigration protests/riots? I don’t know. And neither do you. The legacy media insists the protests are minor and the National Guard’s deployment is unnecessary. The New York Times complains of “the false impression that the entire city was […]
On Elon Musk, Donald Trump, and the problem of ketamine
Alex Berenson - Jun 6th 2025 2:54pm EDT The partnership of Elon Musk and Donald Trump was always going to be fraught. Both are alphas, almost comically so, but their styles are at odds. Musk is an engineer, a visionary, an empire-builder. He sets a goal — electric cars, humans on Mars — and sticks to it no matter the odds. He does […]
Jake Tapper’s Unoriginal Sin
Alex Berenson - Jun 4th 2025 1:39pm EDT Today marks the fifth anniversary of my first taste of Big Tech censorship: Amazon’s ban of my original Covid Unreported Truths booklet, the precursor to this Substack. You may know what happened next. Elon Musk spoke out. Amazon reversed course. The pamphlet sold massively and cemented my place as a voice against lockdowns. But here’s […]
On drugs, Glenn Greenwald, and serious jobs
Alex Berenson - Jun 3rd 2025 4:01pm EDT For days, a short video clip has roiled X, and journalism. I haven’t watched the video, I have only seen stills from it, but it depicts Glenn Greenwald, perhaps the best-known independent journalist in the world, wearing a French maid’s outfit and licking a man’s feet. I don’t care. Greenwald is openly gay. Even if […]
